学院&部门动态
学院&部门动态
发布时间:2022年04月06日 08:49 来源:
清明节是我国传统的祭祀祖先缅怀先人的节日,更是中华民族进行传统教育,弘扬优秀传统文化的重大节日。为激发广大青年学生的爱国主义情怀,追寻烈士的光辉足迹,探求宝贵的精神财富,缅怀革命先烈的丰功伟绩,培育和践行社会主义核心价值观,充分发挥优秀传统文化的滋养和引导作用,教育科学学院于3月28日-4月3日开展了3个清明节主题教育活动。
3月28日-4月2日,学院团总支青年志愿者协会举办了“崇尚英雄,缅怀先烈”剪纸作品征集活动。同学们以缅怀先烈为主题,剪纸内容选择了在抗日战争、抗美援朝战争中牺牲的革命烈士们以及在建国之后为祖国无私奉献的爱国前辈。一幅幅英雄事迹展现在眼前,让我们真切地感受到先烈们经历的艰难险阻,同学们还将先烈事迹和真实感想写在信纸上,以此表达对革命先烈的感恩和敬仰。

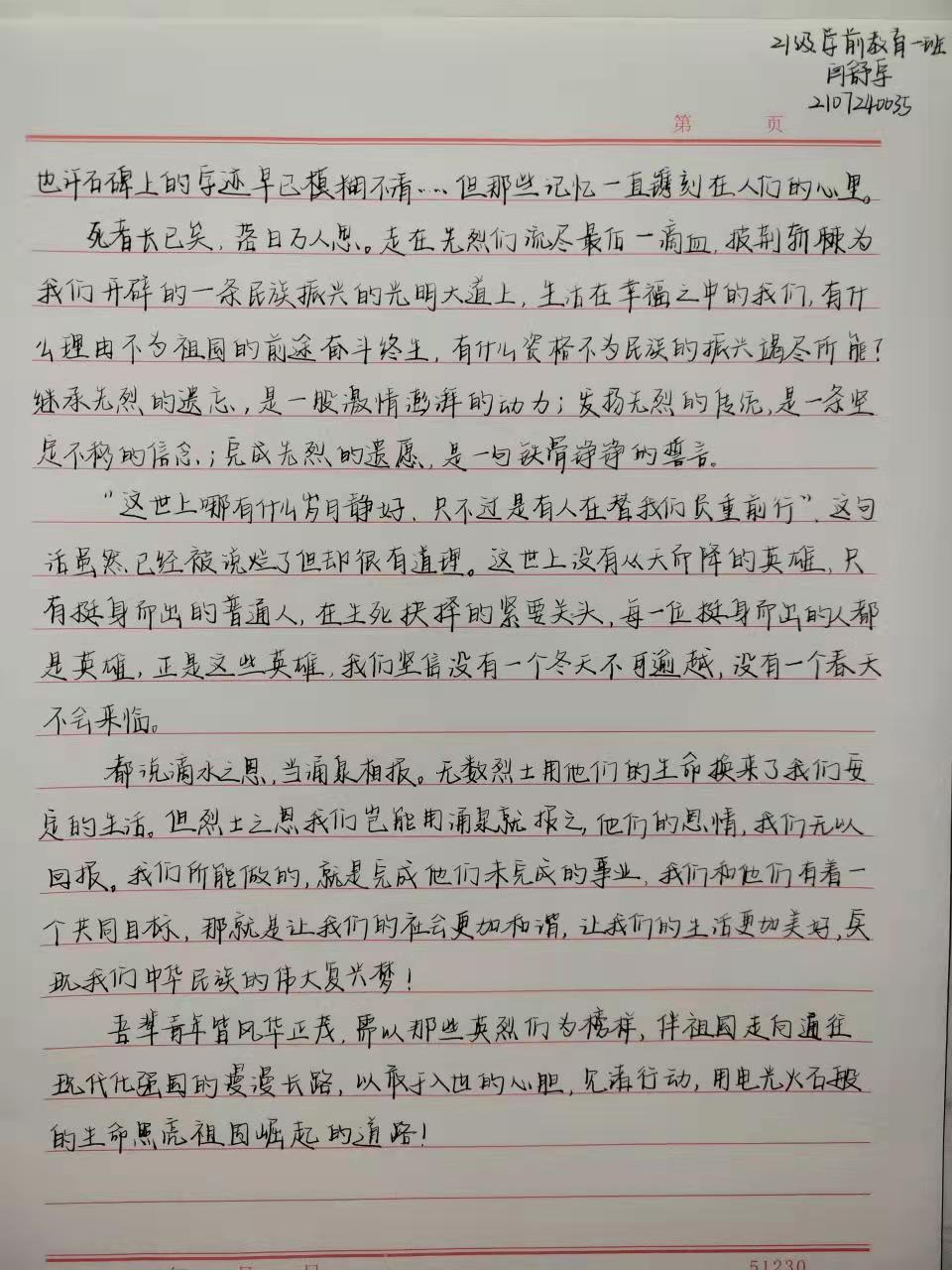
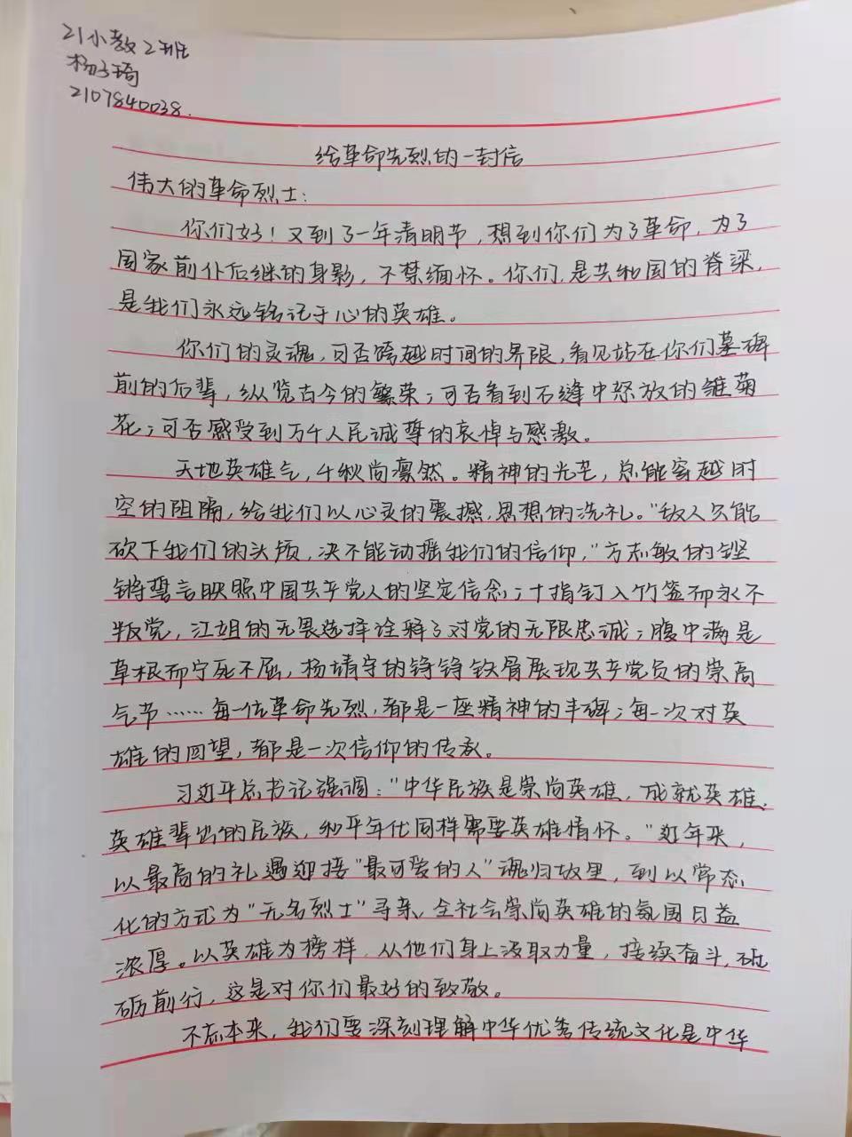
4月2日-4月3日,学院学生第二党支部举办了“缅怀革命先烈,弘扬民族精神”征文活动。活动以书信的形式,围绕“大学生如何继承和弘扬先烈精神”、“想对革命先烈说的一些话”展开,并设计一个信封。活动期间,参与人员满怀着对革命先烈的崇高敬意了解了先烈们的英勇事迹,回顾了当年的峥嵘岁月,体会了先烈们的爱国情怀。同学们的作品里有英勇无畏的黄花岗七十二烈士,面对敌人的铡刀也不肯屈服的刘胡兰、严刑拷打也不改变信仰的江姐、牺牲自己保护战友的黄继光,一个个抛头颅洒热血的英雄故事血泪交融,振奋人心。同学们在字里行间抚今追昔,饮水思源,抒发了对革命先烈的深切怀念和崇高敬意。



4月1日至4月4日,学院学生第一党支部举办“清明祭祖,敬怀先人”视频征集活动。学生通过互联网或书籍查找有关清明节的背景资料,如清明节的由来、传说故事、习俗等进行详细介绍,也有讲述民族英雄故事,了解英雄先辈的光辉事迹。学生们的视频作品制作精美,配有字幕,内容契合主题。有的同学朗读了诗人杜牧的《清明》,有的同学以动画介绍了清明节的由来、清明节的扫墓祭祖、踏青、吃寒食、放风筝、植树等习俗,以及与清明节相关的传说故事和历史事件,还有的学生们分享了民族英雄的事迹,如邓世昌、郑成功等人保家卫国、舍生取义的事迹及抗日战争期间的伟大革命战士邱少云、黄继光的事迹等。

本次活动的举办,让同学们深刻认识到革命先烈的奉献精神,强化了爱国主义的情怀,激励同学们继承革命先烈的光荣传统,赓续红色血脉,激发时代活力,努力学习科学文化知识,立志为祖国发展贡献自己的力量,让星星火炬代代相传!(教育科学学院)
上一条:研究生院开展“缅怀革命先烈、牢记初心使命”主题党日活动
下一条:物理科学与技术学院召开辅导员、班主任工作会议
【关闭】